ASM角度傳感器,是測量物體旋轉角度、可以利用角度變化來定位物體位置、反饋張力的一類電子部件,在工業生產中應用范圍很多。隨著技術日新月異的發展,民用場景正在成為新型角度傳感器大顯身手的領域,如各種智能手機、穿戴裝置和無人機等的酷炫應用。
在有變頻調速應用的工業生產場合,我們可以通過角度傳感器將設備工作狀態轉換成電壓信號給變頻器,比如速度、位移、形變、傾角等,從而通過變頻器對電機轉速進行預設的調整,或實現控制設備的啟動和停止,以達到規定的設備運行指標。
ASM角度傳感器原理


常規工業用ASM角度傳感器外型圖
這里先介紹一下關于角度傳感器靈敏度的選擇,角度傳感器的靈敏度即分辨率。一般模擬量輸出的角度傳感器的靈敏度和它的量程以及輸出信號有關。量程相同的,輸出信號跨度越大,相對的靈敏度越高。比如量程相同的0~10V輸出角度傳感器就比0~5V輸出的角度傳感器靈敏度高。我們在選擇的時候也要根據我們采集系統和控制系統來選擇合適的靈敏度,決定選擇多少精度的傳感器。


ASM角度傳感器原理圖
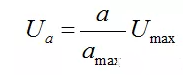
圖所示為電位器式角度傳感器。作變阻器使用,則電阻與角度的關系為


作為分壓器使用,則有


ASM角度傳感器的應用實例
繞線機張力收卷變頻調速控制系統是一種典型的利用角度信號反饋的閉環系統。
在簡易的張力收卷方面,通過角度傳感器反饋信號給變頻器,變頻器進行PID運算,可以進行張力控制,提升收卷質量。


系統圖
某大型化纖廠以變頻調速升級替代了舊的勵磁調速系統,帶來工藝控制上很大的飛躍,并提高產品品質。
方案優點:
1,通過角度傳感器反應張力,變頻器自動調節轉速,提高繞線質量
2,相對勵磁調速,采用角度傳感器+變頻器具有節能的作用。
3,采用角度傳感器,當出現斷線時,變頻器即使反饋故障,減少繞線廢品率
4,變頻器具有過壓,過流,過載,過熱保護,減少電機故障率
ASM角度傳感器應用技術廣泛,張力控制只是其中的一部分,更多的控制方式還需要我們工控人不斷的發掘,開拓。2017三晶電氣與您同行,共同開拓新領域。